基本信息:
中文名称 丙基三甲氧基硅烷
中文别名 三甲氧基(丙基)硅烷;正丙基三甲氧基硅烷;
英文名称 Trimethoxy(propyl)silane
英文别名 trimethoxy(propyl)silane;Trimethoxypropylsilane;TriMethoxy(propyl)silane;Propyltrimethoxysilane;
CAS号 1067-25-0
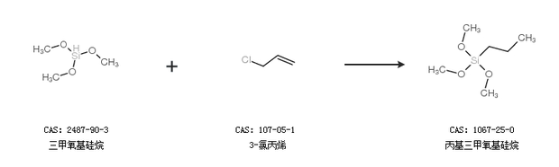
合成路线:
1.通过三甲氧基硅烷合成丙基三甲氧基硅烷,收率约85%;

2.通过三甲氧基硅烷和3-氯丙烯合成丙基三甲氧基硅烷

合成路线仅供参考