基本信息:
中文名称 Fmoc-L-苏氨酸
中文别名 N-(9-芴甲氧羰基)-L-苏氨酸一水合物;N-[(9H-芴-9-基甲氧基)羰基]-L-苏氨酸一水合物;芴甲氧羰基-L-苏氨酸;N-芴甲氧羰基-L-苏氨酸;
英文名称 2-(9H-Fluoren-9-ylmethoxycarbonylamino)-3-hydroxy-butanoic acid
英文别名 N-Fmoc-L-threonine-OH;Fmoc-Thr-OH;FMOC-L-THREONINE;FMOC-THR;FMOC-L-THR-OH;Fmoc-Threonine-OH;FMOC-THR-OH H2O;Fmoc-threonine;FMOC-L-THR-OH H2O;FMOC-THR-OH;N-FMOC-L-THREONINE;
CAS号 73731-37-0
合成路线:
1.通过L-苏氨酸和9-芴甲基-N-琥珀酰亚胺基碳酸酯合成Fmoc-L-苏氨酸,收率约99%;

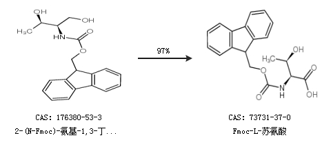
2.通过2-(N-Fmoc)-氨基-1,3-丁二醇合成Fmoc-L-苏氨酸,收率约97%;

中华试剂网提醒 合成路线仅供参考