基本信息:
中文名称 4,4''-二氨基二苯二硫醚
中文别名 二硫代对氨基苯;4,4’-二硫代二苯胺;4,4''-二氨基二苯二硫;二硫二(对氨基)苯;4,4''-二硫代二苯胺;二(对氨基)苯基二硫;二硫化双(对氨基苯);二硫代-4,4''-二氨基(代)二苯;
英文名称 4,4''-Dithiodianiline
英文别名 4-aminophenyl;4-Aminophenyl disulfide;Dithioaniline;p-p''-Dithiodianiline;4,4''-Dithio-Aniline;4,4''-Diaminodiphenyl disulphide;4,4''-diamino diphenyl disulfide;
CAS号 722-27-0
合成路线:
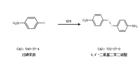
1.通过对碘苯胺合成4,4''-二氨基二苯二硫醚,收率约92%;

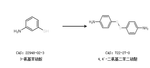
2.通过3-氨基苯硫酚合成4,4''-二氨基二苯二硫醚

中华试剂网提醒 合成路线仅供参考