基本信息:
中文名称 1,2-苯并异噻唑-3-酮
中文别名 1,2-苯并异噻唑啉-3-酮;BIT;1,2-苯并异噻唑啉-3-酮,BIT;苯并异噻唑啉-3-酮;1,2-苯并异噻唑啉-3-酮(BIT);1,2-苯并异噻唑-3(2H)-酮;苯并异噻唑啉酮;1,2-苯并异噻唑啉酮;
英文名称 benzo[d]isothiazol-3-one
英文别名 2,3-dihydro-3-oxo-1,2-benzisothiazole;proxelpl;1,2-Benzisothiazolin-3-One;BIT;Benzocil;Proxel XL;PROXELHL;1,2-benzisothiazol-3-one;BIOCIDE--BIT;Proxan;1,2-benzoisothiazolin-3-one;proxel;1,2-Benzisothiazol-3(2H)-one;proxil;1,2-Benzisothiazolin-3-one;Proxel AB;
CAS号 2634-33-5
合成路线:
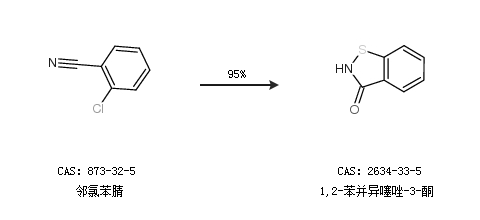
1.通过邻氯苯腈合成1,2-苯并异噻唑-3-酮,收率约95%;

2.通过2-(甲硫基)苯甲腈合成1,2-苯并异噻唑-3-酮,收率约10%;

中华试剂网提醒:合成路线仅供参考