基本信息:
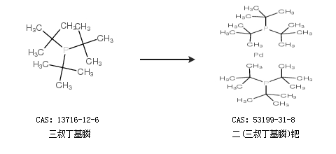
中文名称 二(三叔丁基膦)钯
中文别名 二(三-叔-丁基膦)钯;二(三-t-丁基膦)钯(0);二(三-叔-丁基膦)钯(0);双(三叔丁基膦)钯(0);
英文名称 Bis(tri-tert-butylphosphine)palladium(0)
英文别名 palladium,tritert-butylphosphane;Pd(t-Bu3P)2;
CAS号 53199-31-8
合成路线:
1.通过三叔丁基膦合成二(三叔丁基膦)钯,收率约81%;

2.通过三叔丁基膦合成二(三叔丁基膦)钯

中华试剂网提醒:合成路线仅供参考