基本信息:
中文名称 4,4''-二(9-咔唑)联苯
中文别名 4,4’-二(9-咔唑)联苯;4,4''-双(N-咔唑)-1,1''-联苯;4,4-二(9-咔唑)联苯;
英文名称 4,4''-Bis(N-carbazolyl)-1,1''-biphenyl
英文别名 4,4''-Bis(9-carbazolyl)-1,1''-biphenyl;9-[4-(4-carbazol-9-ylphenyl)phenyl]carbazole;
CAS号 58328-31-7
合成路线:
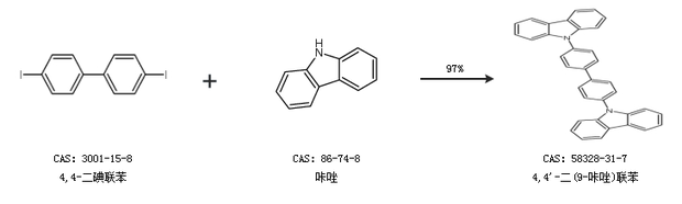
1.通过4,4-二碘联苯和咔唑合成4,4''-二(9-咔唑)联苯,收率约97%;

2.通过4,4-二溴联苯合成4,4''-二(9-咔唑)联苯,收率约47%;

中华试剂网提醒 合成路线仅供参考