基本信息:
中文名称 金丝桃苷
中文别名 槲皮素-3-D-半乳糖苷;2-(3,4-二羟基苯基)-3-(beta-D-吡喃半乳糖氧基)-5,7-二羟基-4H-1-苯并吡喃-4-酮;槲皮素-3-半乳糖甙;海棠因;海棠因;金丝桃甙;
英文名称 quercetin 3-O-β-D-galactopyranoside
英文别名 hyperozide;quercetin 3-D-galactoside;HYPERIN;quercetin 3-O-beta-D-galactopyranoside;Hyperoside;hyperasid;quercetin-3-galactoside;Quercetin 3-galactoside;Quercetin 3-D-galactoside;HYPEROSID;quercetin-3-O-galactoside;
CAS号 482-36-0
合成路线:
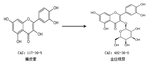
1.通过槲皮素合成金丝桃苷

2.通过2”-O-没食子酰基金丝桃苷合成金丝桃苷

合成路线仅供参考