你好,欢迎来到中华试剂网 购试剂 买耗材! [请登录][注册有惊喜]

货号快速下单 | 签到送积分   | 会员中心 | 客服热线:400-021-2765

原卟啉,553-12-8,结构式

原卟啉

CasNo:553-12-8 MDL:MFCD00151109 分子式:C34H34N4O4 分子量:562.66

小程序

化学试剂

所有产品仅用作科学研究和企业生产,我们不为任何个人用途提供产品和服务
收起
  品牌 货号 品名 规格纯度 包装 库存 牌价含税 成交价 购买量 操作
loading
点击加载更多
加载完成
声明
1、因厂家会在没有任何提前通知的情况下更改产品价格、包装、产地或者一些附件,若出现价格异常请以厂家官网价格为准,本司不能确保客户收到的货物与商城图片、产地、附件说明完全一致,只能确保为原厂正货!并且保证与当时市场上同样主流新品一致。若本商城没有及时更新,请大家谅解!
2、商品信息标注“一般危化品”“危化”的商品,如需购买需提供一般危化品购买资质。
3、仅可用于工业或者科研等非医疗目的。买卖双方确认:依照中国法律法规之规定,本网站销售的所有产品仅用于工业应用或者科学研究等非医疗目的,不可用于人类或动物的临床诊断或治疗,非药用,非食用。我们特此明示提醒:您应严格恪守上述规定,不得超越正常的科研或教学目的而违规使用产品,否则由此造成的一切后果均应由您承担;若我们因此遭受任何损失的,您也应负责对我们做出赔偿。
我要委托采购 553-12-8 产品

用户需要登录成功才能进行委托采购!
牌试剂可在下方直接购买,如需大包装可发起委托采购。

*收货区域
*发票类型
*需求量1
*需求量2
备注

基本信息物化性质安全数据

CAS:553-12-8
中文名:原卟啉
英文名:Protoporphyrin IX
中文别名:
原卟啉
3,7,12,17-四甲基-8,13-二乙烯基-2,18-卟吩二丙酸
英文别名:
Protoporphyrin IX
3,7,12,17-Tetramethyl-8,13-divinyl-2,18-porphinedipropionic acid
Kammerer’s porphyrin
Ooporphyrin

技术问答

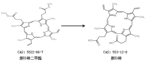
原卟啉的合成路线有哪些?匿名 2021-04-22 10:11
描述:原卟啉有什么方法可以合成?
基本信息:
中文名称 原卟啉
中文别名 原紫質IX;3,7,12,17-四甲基-8,13-二乙烯基-2,18-卟吩二丙酸;原卟啉 IX;
英文名称 protoporphyrin
英文别名 Protoporphyrin IX;PROTOPORPHYRIN;
CAS号 553-12-8

合成路线:
1.通过原卟啉二甲酯合成原卟啉


2.通过吡啶和乙酸合成原卟啉


合成路线仅供参考
展开
原卟啉二甲酯是什么,有什么用途啊?匿名 2021-04-20 17:39
描述:原卟啉二甲酯的物化性质是什么,有什么用途啊?
基本信息:
中文名称 原卟啉二甲酯
中文别名 原卟啉 IX 二甲酯;
英文名称 Protoporphyrin IX dimethyl ester
英文别名 Protoporphyrin ix dimethyl ester;
CAS号 5522-66-7
分子式 C36H38N4O4
分子量 590.71100

物化性质:
折射率 1.63
闪点 573.7ºC
熔点 225-228ºC
密度 1.196g/cm3
沸点 1025ºC at 760mmHg

原卟啉二甲酯的用途:

生化研究;肝脏机能改善剂,具有促进细胞组织呼吸,改善蛋白质和糖代谢,抗补体结合等作用。

展开
原卟啉的储存条件,储存温度匿名 2021-04-02 13:08
描述:原卟啉的储存温度 保存方法
2~8°C储存
展开
原卟啉的外观匿名 2021-03-04 10:26
描述:原卟啉是固体还是液体?
红色到棕色到黑色的粉末
展开

原料询价

询单已收到,专属客服稍后会联系您!

您还可以登录后台“查看询单

此商品已成功添加到购物车
此商品已成功添加到购物车!