基本信息:
中文名称 2-氨基苯并噻唑
中文别名 铈(III)离子载体;2-苯基噻唑胺;2-胺苯并噻唑;2-苯并噻唑胺;2-氨基苯骈噻唑;2-氨基苯骈噻唑;2-苯基噻唑胺;普拉克索杂质(苯并[d]噻唑-2-胺);苯并[d]噻唑-2-胺;
英文名称 2-Benzothiazolamine
英文别名 Benzothiazole-2-ylamine;2-Aminobenzothiazole;1,3-benzothiazol-2-amine;Benzo[d]thiazol-2-amine;
CAS号 136-95-8
合成路线:
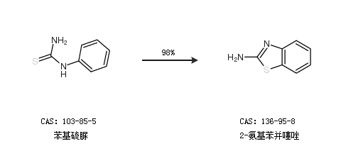
1.通过苯基硫脲合成2-氨基苯并噻唑,收率约98%;

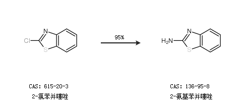
2.通过2-氯苯并噻唑合成2-氨基苯并噻唑,收率约95%;

合成路线仅供参考