基本信息:
中文名称 6-丙基-2-硫尿嘧啶
中文别名 6-丙基-2-硫代尿嘧啶;6-正丙基-2-硫代尿嘧啶;6-正丙;4-羟基-2-巯基-6-丙基嘧啶;丙基硫氧嘧啶;6-丙基-2-巯基-4-羟基嘧啶;丙硫氧嘧啶;6-丙基-2-硫代-2,3-二氢-4(1H)-嘧啶酮;
英文名称 6-propyl-2-thiouracil
英文别名 T 72;6-n-propylthiouracil;6-Propyl-2-thioxo-2,3-dihydropyrimidin-4(1H)-one;PROPYCIL;Protiural;2-Mercapto-6-Propylpyrimidin-4-ol;Propylthiouracil;PROTHYRAN;4-propyl-2-thiouracil;4-Hydroxy-2-mercapto-6-propylpyrimidine;PROIL;6-n-propyl-2-thiouracil;4-hydroxy-2-mercapto-6-propylpyrimidine;6-Propyl-2-thiouracil;2,3-Dihydro-6-propyl-2-thioxo-4(1H)-pyrimidinone,4-Hydroxy-2-mercapto-6-propylpyrimidine;Thiuragyl;PROPACIL;Prothycil;
CAS号 51-52-5
合成路线:
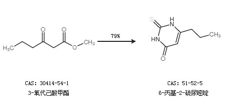
1.通过3-氧代己酸甲酯合成6-丙基-2-硫尿嘧啶,收率约79%;

中华试剂网提醒:合成路线仅供参考