基本信息:
中文名称 2-氨基-5-硝基嘧啶
英文名称 5-nitropyrimidin-2-amine
英文别名 2-Pyrimidinamine,5-nitro;5-nitropyrimidin-2-amin;5-nitropyrimidine-2-ylamine;2-Amino-5-nitropyrimidine;5-Nitro-pyrimidin-2-ylamin;5-Nitro-pyrimidin-2-ylamine;
CAS号 3073-77-6
合成路线:
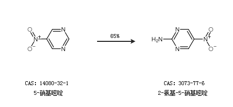
1.通过5-硝基嘧啶合成2-氨基-5-硝基嘧啶,收率约65%;

2.通过O-甲基异脲盐酸盐和5-硝基嘧啶合成2-氨基-5-硝基嘧啶,收率约49%;

中华试剂网提醒:合成路线仅供参考