基本信息:
中文名称 对苯二异氰酸酯
中文别名 1-丙基哌嗪二氢溴酸;1,4-苯二异氰酸;对苯二异酸酯(PPDI);对亚苯基二异氰酸酯;1,4-苯二异氰酸酯;(+)-2-(2-氟-4-联苯基)-丙酸;
英文名称 1,4-Phenylene diisocyanate
英文别名 Benzene 1,4-Diisocyanate;1,4-Phenylene Diisocyanate;1,4-diisocyanatobenzene;
CAS号 104-49-4
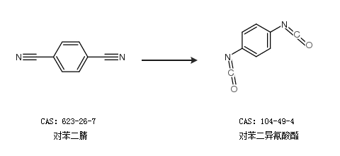
合成路线:
1.通过对苯二胺和氯甲酸三氯甲酯合成对苯二异氰酸酯

2.通过对苯二腈合成对苯二异氰酸酯

合成路线仅供参考