基本信息:
中文名称 色酮-2-甲酸
中文别名 4-氧代-4H-1-苯并吡喃-2-甲酸;色酮甲酸;4-苯并吡喃酮-2-羧酸;4-氧代-4H-1-苯并吡喃-2-羧酸;4-苯并吡喃酮-2-羧酸,色酮-2-羧酸;
英文名称 4-Oxo-4H-1-benzopyran-2-carboxylic acid
英文别名 4-oxochromene-2-carboxylic acid;ChroMone-2-carboxylic Acid;4-Oxo-4H-chromene-2-carboxylic acid;
CAS号 4940-39-0
合成路线:
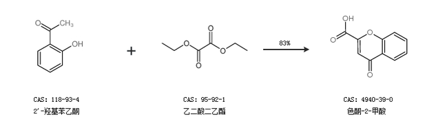
1.通过2''-羟基苯乙酮和乙二酸二乙酯合成色酮-2-甲酸,收率约83%;

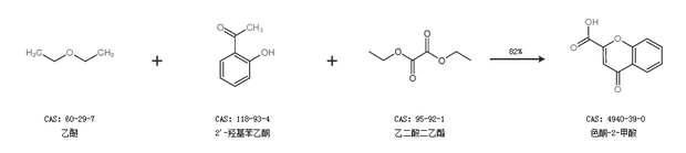
2.通过乙醚、2''-羟基苯乙酮和乙二酸二乙酯合成色酮-2-甲酸,收率约82%;

中华试剂网提醒:合成路线仅供参考