基本信息:
中文名称 N''-硝基-L-精氨酸
中文别名 N’-硝基-L-精氨酸;硝基-L-精氨酸;Nω-Nitro-L-arginine;Nω-硝基-L-精氨酸;
英文名称 N''-Nitro-L-arginine
英文别名 Nomega-nitro-L-arginine;Nω-Nitro-L-arginine (L-NNA);L-NNA N5-(Nitroamidino)-L-2,5-diaminopentanoic acid NG-NO2-L-Arg;L-NO2ARG;NG-NO2-L-ARG;L-NA,L-NNA;NoMega-Nitro-L-arginine;L-NNA;NG-nitro-L-arginine;Nω-Nitro-L-arginine;L-NOARG;ARG(NO2);H-ARG(NO2)-OME;L-NG-nitroarginine;L-NA;(S)-2-Aminobut-3-enoic acid;H-Arg(NO2)-OH;nitroarginine;(S)-2-Amino-5-(3-nitroguanidino)pentanoic acid;H-ARG(NO2)-OH;
CAS号 2149-70-4
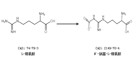
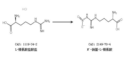
合成路线:
1.通过L-精氨酸合成N''-硝基-L-精氨酸

2.通过L-精氨酸盐酸盐合成N''-硝基-L-精氨酸

合成路线仅供参考