基本信息:
中文名称 2-氨基-5-氯苯腈
中文别名 5-氯邻氨基苯腈;5-氯邻胺苯甲腈;2-氨基-5-氯苄腈;2-氨基-5-氯苯甲腈;
英文名称 2-Amino-5-chlorobenzonitrile
英文别名 Benzonitrile,2-amino-5-chloro;amino(2-) 5-chloro-benzonitrile;5-chloro-anthranilonitrile;2-amino-5-chlorobenzenecarbonitrile;Anthranilonitrile,5-chloro;1-amino-2-cyano-4-chlorobenzene;2-Amino-5-chloro-benzonitrile;4-chloro-2-cyanoaniline;
CAS号 5922-60-1
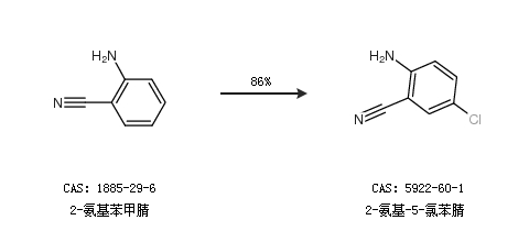
合成路线:
1.通过1-氯丁烷和2-氨基苯甲腈合成2-氨基-5-氯苯腈

2.通过2-氨基苯甲腈合成2-氨基-5-氯苯腈,收率约86%;

中华试剂网提醒:合成路线仅供参考