基本信息:
中文名称 4-N-苄氧羰基氨基环己酮
中文别名 N-Cbz-4-氨基环己酮;4-N-CBZ-氨基环己酮;(4-氧代环己基)氨基甲酸苄酯;4-(CBZ-氨基)环己酮;4-(Cbz-氨基)环己酮;N-CBZ-对氨基环己酮;N-Cbz-对氨基环己酮;4-N-苄氧羰基-氨基-环已酮;
英文名称 4-N-Cbz-cyclohexanone
英文别名 benzyl N-(4-oxocyclohexyl)carbamate;Benzyl (4-oxocyclohexyl)carbamate;N-Cbz-4-aminocyclohexanone;4-N-Cbz-Aminocyclohexanone;
CAS号 16801-63-1
合成路线:
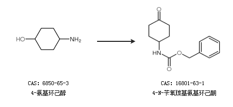
1.通过4-氨基环己醇合成4-N-苄氧羰基氨基环己酮

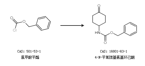
2.通过氯甲酸苄酯合成4-N-苄氧羰基氨基环己酮

中华试剂网提醒:合成路线仅供参考