基本信息:
中文名称 N-三羟甲基甲基-2-氨基乙磺酸
中文别名 N,N,N'',N''-四乙基磺酰二胺;N,N,N'',N''-四乙基硫酰胺;N,N,N'',N''-四乙基磺酰二胺;N-[三(羟甲基)甲基]-2-氨基乙磺酸;
英文名称 N-(diethylsulfamoyl)-N-ethylethanamine
英文别名 Bis-diethylamino-schwefelsaeure;N,N,N'',N''-Tetraethylsulfamide;N,N,N'',N''-Tetraethylsulfondiamid;Tetraaethyl-sulfamid;Tetraethyl sulphamide;Schwefelsaeure-bis-diaethylamid;N,N,N'',N''-tetraethylsulfamide;N,N,N'',N''-tetraethylsufamide;
CAS号 2832-49-7
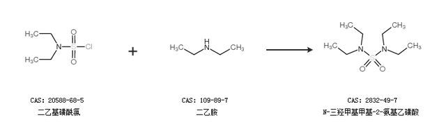
合成路线:
1.通过二乙胺合成N-三羟甲基甲基-2-氨基乙磺酸

2.通过二乙基磺酰氯和二乙胺合成N-三羟甲基甲基-2-氨基乙磺酸

合成路线仅供参考