基本信息:
中文名称 Fmoc-N-甲基-L-缬氨酸
中文别名 芴甲氧羰酰基-N-甲基-L-缬氨酸;FMOC-N-甲基-L-缬氨酸;FMOC-N-ME-VAL-OH;N-芴甲氧羰基-N-甲基-L-缬氨酸;
英文名称 Fmoc-Nalpha-methyl-L-valine
英文别名 (2S)-2-[9H-fluoren-9-ylmethoxycarbonyl(methyl)amino]-3-methylbutanoic acid;
CAS号 84000-11-3
合成路线:
1.通过氯甲酸-9-芴基甲酯合成Fmoc-N-甲基-L-缬氨酸

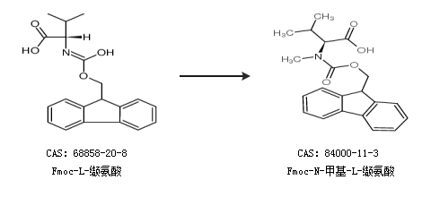
2.通过Fmoc-L-缬氨酸合成Fmoc-N-甲基-L-缬氨酸

合成路线仅供参考