基本信息:
中文名称 Fmoc-N-甲基-L-丙氨酸
中文别名 FMOC-N-甲基-DL-丙氨酸;NΑ-(9-芴甲氧羰酰基L)-NΑ-甲基-L-丙氨酸;FMOC-N-甲基-L-丙氨酸;N-芴甲氧羰酰基-N-甲基-L-丙氨酸;芴甲氧羰酰基-N-甲基丙氨酸;
英文名称 Fmoc-Nalpha-methyl-L-alanine
英文别名 (2S)-2-[9H-fluoren-9-ylmethoxycarbonyl(methyl)amino]propanoic acid;
CAS号 84000-07-7
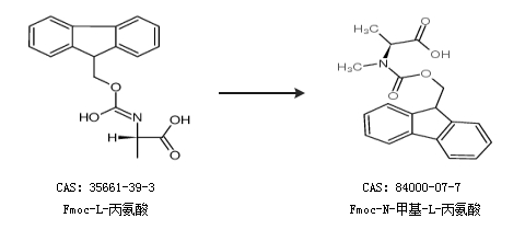
合成路线:
1.通过氯甲酸-9-芴基甲酯合成Fmoc-N-甲基-L-丙氨酸,收率约69%;

2.通过Fmoc-L-丙氨酸合成Fmoc-N-甲基-L-丙氨酸

中华试剂网提醒:合成路线仅供参考