基本信息:
中文名称 Fmoc-L-蛋氨酸
中文别名 N-(9-芴甲氧羰基)-L-蛋氨酸;N-[(9H-芴-9-基甲氧基)羰基]-L-蛋氨酸;N-芴甲氧羰基-L-甲硫氨酸;芴甲氧羰基-L-蛋氨酸;
英文名称 FMOC-L-Methionine
英文别名 Fmoc-methionine;N-FMOC-L-MET;Fmoc-Met-OH;Fmoc-Methionine-OH;N-FMOC-MET-OH;N-Fmoc-L-Met-OH;FMOC-L-MET;Fmoc-L-Met-OH;FMOC-MET;
CAS号 71989-28-1
合成路线:
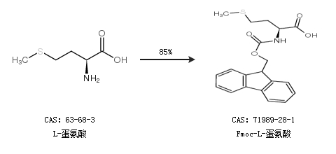
1.通过L-蛋氨酸合成Fmoc-L-蛋氨酸,收率约85%;

2.通过L-蛋氨酸和9-芴甲基-N-琥珀酰亚胺基碳酸酯合成Fmoc-L-蛋氨酸,收率约61%;

合成路线仅供参考