基本信息:
中文名称 5-甲基尿甙
中文别名 5-甲基尿苷;胸腺嘧啶核糖核苷;5-甲基尿嘧啶核苷;
英文名称 ribothymidine
英文别名 5-Methyluridine;1-[(2R,3R,4S,5R)-3,4-dihydroxy-5-(hydroxymethyl)oxolan-2-yl]-5-methylpyrimidine-2,4-dione;Ribothymidine;
CAS号 1463-10-1
合成路线:
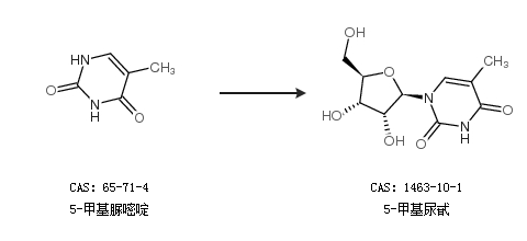
1.通过5-甲基脲嘧啶合成5-甲基尿甙

2.通过三乙胺三氢氟酸盐合成5-甲基尿甙

合成路线仅供参考