基本信息:
中文名称 2-乙酰基吡嗪
中文别名 乙酰吡嗪;乙酰吡嗪;1-乙酰基吡嗪;乙酰基吡嗪;2-乙酰吡嗪;乙酰-1,4-二嗪;
英文名称 1-pyrazin-2-ylethanone
英文别名 Methyl pyrazinyl ketone;2-Acetylpyrazine;Ketone,methyl pyrazinyl;2-ACETYLPYRAZINE;Methyl pyrazin-2-yl ketone;Ethanone,1-pyrazinyl;methyl 2-pyrazinyl ketone;1-pyrazin-2-yl-ethanone;1-Pyrazinylethanone;Acetylpyrazine;1-Pyrazin-2-ylethan-1-one;
CAS号 22047-25-2
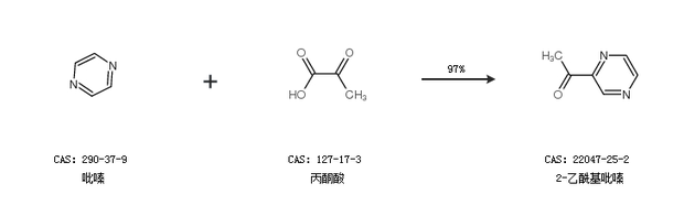
合成路线:
1.通过吡嗪和丙酮酸合成2-乙酰基吡嗪,收率约97%;

2.通过吡嗪和乙醛合成2-乙酰基吡嗪,收率约50%;

合成路线仅供参考