基本信息:
中文名称 N-alpha-Cbz-L-赖氨酸
中文别名 CBZ-L-赖氨酸;Nα-苄氧羰基-L-赖氨酸;N(α)-苄氧羰基-L-赖氨酸;苄氧羰基-L-赖氨酸;N-alpha-苄氧羰基-L-赖氨酸;N-苄氧羰基-L-赖氨酸;Cbz-L-赖氨酸;α-N-苄氧羰基-L-赖氨酸;N-α-Cbz-L-赖氨酸;
英文名称 (2S)-6-amino-2-(phenylmethoxycarbonylamino)hexanoic acid
英文别名 Z-Lys-OH;Nα-Cbz-L-lysine;Nalpha-(Carbobenzyloxy)-L-lysine;Nalpha-Z-L-Lysine;carbobenzoxy-L-lysine;N-Carbobenzoxy-L-lysine;CBZ-L-Lys-OH;N2-Cbz-L-lysine;(S)-6-Amino-2-(((benzyloxy)carbonyl)amino)hexanoic acid;Nα-Carbobenzoxy-L-lysine;Nalpha-Cbz-L-lysine;Cbz-Lys-OH;n-|A-carbobenzoxy-l-lysine;e-carbobenzyloxy-L-lysine;
CAS号 2212-75-1
合成路线:
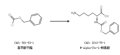
1.通过氯甲酸苄酯合成N-alpha-Cbz-L-赖氨酸

2.通过Nε-Boc-Nα-Cbz-L-赖氨酸合成N-alpha-Cbz-L-赖氨酸

合成路线仅供参考