基本信息:
中文名称 N-乙酰神经氨酸
中文别名 N-乙酰神经氨糖酸;燕窝酸;醋纽拉酸;N-乙酰-D-神经氨酸;乙酰基神经氨酸;唾液酸;N-乙酰-神经氨酸;N-乙酰甘露糖胺丙酮酸;
英文名称 N-acetylneuraminic acid
英文别名 NANA H2O;Aceneuramic acid;5-Acetamido-3,5-dideoxy-D-glycero-D-galactononulosonic acid,Lactaminic acid,NAN;N-Acetylneuraminic acid;N-acetyl-D-neuraminic acid;NANA;5-Acetamido-3,5-dideoxy-D-glycero-D-galactononulosonic acid;SIALIC ACID;NANA TYPE IV-S;LACTAMINIC ACID;NAN;NANA TYPE VI;Sialomucin;NEU5AC;Sialic acid;sialic acid powder;N-Acetylneuraminic Acid;Lactaminic acid;
CAS号 131-48-6
合成路线:
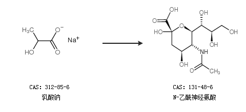
1.通过乳酸钠合成N-乙酰神经氨酸

2.通过D-(+)-葡萄糖和N-乙酰-D-氨基葡萄糖合成N-乙酰神经氨酸

中华试剂网提醒:合成路线仅供参考