基本信息:
中文名称 N-[3-(乙酰巯基)-(2S)-甲基丙酰基]-L-脯氨酸
中文别名 D-(S)-3-乙酰巯基-2-甲基丙酰基-L-脯氨酸;1-[(2S)-3-(乙酰硫代)-2-甲基-1-氧代丙基]-L-脯氨酸;1-[(S)-3-(乙酰硫代)异丁酰]-L-脯氨酸;D-(S)-3-乙酰巯基-2-甲基丙酰基-L-脯氨酸水合物;N-[3-(乙酰巯基)-(2S)-甲基;1-[(2S)-3-(乙酰硫代)-2-甲基丙酰基]-L-脯氨酸水合物;N-(3-乙酰巯基-2S-甲基丙基)卟啉,D-(S)-3-乙酰巯基-2-甲基丙酰基-L-脯氨酸;
英文名称 N-[3-(Acetylthio)-(2S)-methylpropionyl]-L-proline hydrate
英文别名 (2S)-1-(3-Acetylthio-2-methyl-1-oxopropyl)-L-proline;
CAS号 64838-55-7
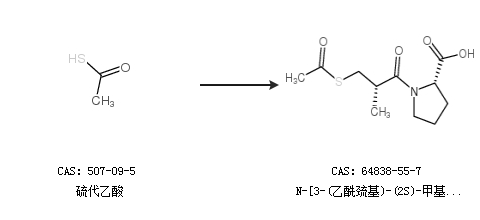
合成路线:
1.通过硫代乙酸合成N-[3-(乙酰巯基)-(2S)-甲基丙酰基]-L-脯氨酸

中华试剂网提醒 合成路线仅供参考