基本信息:
中文名称 1-金刚烷甲酸
中文别名 1-金刚烷羧酸;金刚烷甲酸;三环[3.3.1.13,7]癸烷-1-羧酸;三环[3.3.1.1(3,7)]癸烷-1-羧酸;三环[3.3.1.1(3,7)]癸烷-1-甲酸;
英文名称 1-Adamantanecarboxylic acid
英文别名 adamant-1-ylcarboxylic acid;1-Adamantanecarboxylicacid;adamantanecarboxylic acid;1-Adamantanecarboxylic;1-adamantylmethanoic acid;adamantylcarboxylic acid;1-Carboxyadamantane;adamantyl-1-carboxylic acid;Adamantoic acid;adamantane-1-carboxylic acid;1-ADAMANTOIC ACID;RARECHEM AQ TC 1001;
CAS号 828-51-3
合成路线:
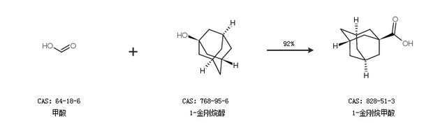
1.通过甲酸和1-金刚烷醇合成1-金刚烷甲酸,收率约92%;

2.通过金刚烷合成1-金刚烷甲酸,收率约82%;

中华试剂网提醒:合成路线仅供参考