基本信息:
中文名称 1-氰基金刚烷
中文别名 1-金刚烷甲腈;1-氰基-金刚烷;金刚烷-1-甲腈;1-氰代金刚烷;
英文名称 adamantane-1-carbonitrile
英文别名 1-Adamantyl cyanide;1-Adamantyl Cyanide;adamantyl-1-carboxylnitrile;1-Adamantanecarbonitrile;Adamantane-1-carbonitrile;1-CyanoadaMantane;1-Cyanoadamantane;F1928-0022;adamantanecarbonitrile;
CAS号 23074-42-2
合成路线:
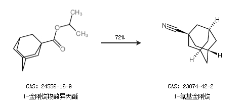
1.通过1-金刚烷羧酸异丙酯合成1-氰基金刚烷,收率约72%;

2.通过金刚烷-1-甲酸乙酯合成1-氰基金刚烷,收率约72%;

中华试剂网提醒:合成路线仅供参考