基本信息:
中文名称 L-组氨酸
中文别名 2-胺-3-咪唑丙酸;(S)-2-氨基-3-(4-咪唑基)丙酸;L-2-氨基-3(4-咪唑基)丙酸;L-α-氨基-β-4-咪唑基丙酸;α-氨基-1H-咪唑-4-丙酸;織胺酸;L-组织氨基酸;咪唑-5-Α-丙氨酸;咪唑-5-α-丙氨酸;组氨酸;
英文名称 L-histidine
英文别名 L-Histdine;HISTIDINE;FEMA 3694;H-L-HIS-OH;Histidin;d,l-histidine;L-Hisidine;L-Histidine;L-HIS;H-HIS-OH;HIS;
CAS号 71-00-1
合成路线:
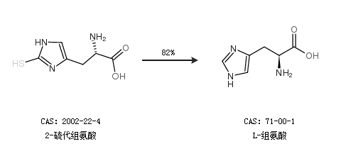
1.通过2-硫代组氨酸合成L-组氨酸,收率约82%;

2.通过N-Boc-N''-苄氧甲基-L-组氨酸合成L-组氨酸,收率约99%;

中华试剂网提醒:合成路线仅供参考