基本信息:
中文名称 高哌嗪
中文别名 1,4-二氮环庚烷/1,4-二胺基环辛烷;1,4-二氮环庚烷;
英文名称 Homopiperazine
英文别名 Homo-Piperazines;1,4-diazacycloheptane;homopiperazine;hexahydro-4H-1,4-diazepine;tetrahydro-1,4-diazepine;hexahydro-1,4-diazepine;HOJNEYSUCKLEEXTRACT;1,4-Diazacycloheptane,2,3,4,5,6,7-Hexahydro-1H-1,4-diazepine;hexahydro-1H-1,4-diazepine;High-piperazine;HPRZ;
CAS号 505-66-8
合成路线:
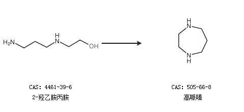
1.通过2-羟乙胺丙胺合成高哌嗪

2.通过六氢-1,4-二苯磺酰基-1H-1,4-二氮杂卓合成高哌嗪

中华试剂网提醒 合成路线仅供参考