基本信息:
中文名称 己烷雌酚
中文别名 4,4ˊ-二羟-Γ,Δ-二苯己烷;4,4''-(1,2-二乙基亚乙基)二苯酚;己雌酚,HEXOESTROL;去氢己烯雌酚;六羟春情素;
英文名称 HEXESTROL
英文别名 Hexron;Vitestrol;Extra-Plex;Estra-Plex;Synestrol;Synthovo;Estronal;Estrifar;meso-3,4-Bis-(4-hydroxy-phenyl)-hexan;4,4''-(1,2-Diethylethylene)diphenol;meso-3,4-bis-(4-hydroxyphenyl)hexane;(R*,S*)-4,4''-(1,2-diethyl-1,2-ethanediyl)bis-phenol;Sinestrol;
CAS号 84-16-2
合成路线:
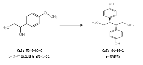
1.通过1-(4-甲氧苯基)丙烷-1-OL合成己烷雌酚

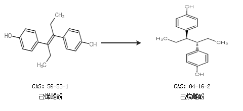
2.通过己烯雌酚合成己烷雌酚

中华试剂网提醒 合成路线仅供参考