基本信息:
中文名称 1,3-金刚烷二乙酸
中文别名 1,3-金刚烷二乙酯;1,3-双(羧甲基)金刚烷;
英文名称 2-[3-(carboxymethyl)-1-adamantyl]acetic acid
英文别名 1,3-Adamantanediaceticacid;H2ADA;2,2''-(Adamantane-1,3-diyl)diacetic acid;1,3-Adamantanediacetic Acid;adamantane-1,3-diacetic acid;
CAS号 17768-28-4
合成路线:
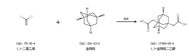
1.通过1,1-二氯乙烯和金刚烷合成1,3-金刚烷二乙酸,收率约80%;

2.通过1,1-二氯乙烯合成1,3-金刚烷二乙酸,收率约88%;

合成路线仅供参考