基本信息:
中文名称 N-苄氧羰基-L-谷氨酰胺
中文别名 N-苯甲氧基-L-谷氨酸;苄氧羰基-L-谷氨酰胺;N-Cbz-L-谷氨酰胺;N(a)-苄氧羰基-L-谷氨酸;N-苄氧羰基-L-谷氨酸盐;Cbz-L-谷氨酰胺;
英文名称 (2S)-5-amino-5-oxo-2-(phenylmethoxycarbonylamino)pentanoic acid
英文别名 Cbz-L-Gln-OH;Carbobenzyloxy-L-glutamine;N-Benzyloxycarbonyl-L-glutamine;N-Cbz-glutamine;Z-L-Glutamine;N-carbobenzyloxy-L-glutamine;N-Cbz-L-glutamine;Z-Gln-OH;N-Carbobenzoxy-L-glutamine;N2-Carbobenzoxy-L-glutamine;(S)-5-Amino-2-(((benzyloxy)carbonyl)amino)-5-oxopentanoic acid;N-Carbobenzoxy-L-glutaMine;N-Carbobenzyloxy-L-glutamine;cbz-L-glutamine;
CAS号 2650-64-8
合成路线:
1.通过L-谷氨酰胺和氯甲酸苄酯合成N-苄氧羰基-L-谷氨酰胺,收率约85%;

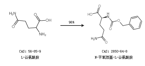
2.通过L-谷氨酰胺合成N-苄氧羰基-L-谷氨酰胺,收率约96%;

中华试剂网提醒:合成路线仅供参考