基本信息:
中文名称 L-谷胱甘肽
中文别名 谷胱甘肽氧化型;L-谷胱甘肽,氧化型;氧化谷胱甘肽;N-(N-L-γ-谷胺酰基-L-半胱胺酰基)甘氨酸-2,2-二硫化物;氧化型谷胱胺肽;谷胱甘肽(氧化型);奥谷胱甘肽;
英文名称 glutathione disulfide
英文别名 GSSC;Glutathiol,GSSG;oxigluthione;GSH disulfide;Oxyglutatione;oxidized glutathione;L(-)-Glutathione;L-Glutathione oxidized;glutathione-ssg;glutathione oxidized form;glutathonedisulfide;Glutathiol;glutathione oxidized;Oxiglutatione;GSSG oxidized form;Glutathione oxidized form;GSSG,Glutathiol;GSSG;
CAS号 27025-41-8
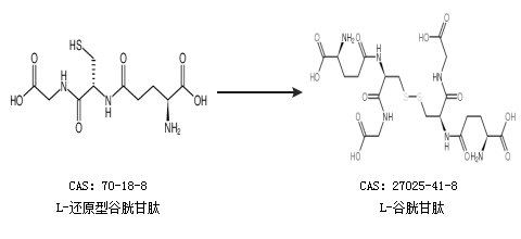
合成路线:
1.通过L-还原型谷胱甘肽合成L-谷胱甘肽,收率约99%;

2.通过L-还原型谷胱甘肽合成L-谷胱甘肽

合成路线仅供参考