基本信息:
中文名称 2-氟-4-羟基苯腈
中文别名 3-氟-4-氰基苯酚;2-氟-4-羟基苯甲腈;3-氟-4-氰基苯酚(FCNPO);
英文名称 2-Fluoro-4-hydroxybenzonitrile
英文别名 4-cyano-3-fluorophenol;2-fluoro-4-hydroxybenzenecarbonitrile;2-fluoro-4-benzonitrile;4-hydroxy-2-fluorobenzonitrile;3-fluoro-4-cyanophenol;BENZONITRILE,2-FLUORO-4-HYDROXY;2-fluoro-4-hydroxy-benzonitrile;
CAS号 82380-18-5
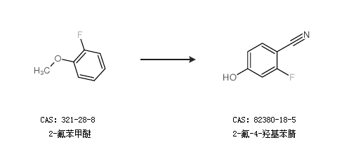
合成路线:
1.通过3-氟-4-氰基苯甲醚合成2-氟-4-羟基苯腈,收率约62%;

2.通过2-氟苯甲醚合成2-氟-4-羟基苯腈

中华试剂网提醒:合成路线仅供参考