基本信息:
中文名称 2-溴噻唑-4-甲酸乙酯
中文别名 乙基-2-溴噻唑-4-羧酸乙酯;2-溴-噻唑-4-甲酸乙酯;2-溴-1,3-噻唑-4-羧酸乙酯;
英文名称 Ethyl 2-bromothiazole-4-carboxylate
英文别名 ethyl 2-bromo-1,3-thiazole-4-carboxylate;Ethyl 2-BroMothiazole-4-carboxylate;2-Bromothiazole-4-carboxylic Acid Ethyl Ester;
CAS号 100367-77-9
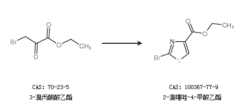
合成路线:
1.通过2-氨基噻唑-4-甲酸乙酯合成2-溴噻唑-4-甲酸乙酯,收率约75%;

2.通过3-溴丙酮酸乙酯合成2-溴噻唑-4-甲酸乙酯

中华试剂网提醒:合成路线仅供参考