基本信息:
中文名称 埃博霉素B
中文别名 帕土匹龙;
英文名称 epothilone B
英文别名 (1S,3S,7S,10R,11S,12S,16R)-7,11-dihydroxy-8,8,10,12,16-pentamethyl-3-[(E)-1-(2-methyl-1,3-thiazol-4-yl)prop-1-en-2-yl]-4,17-dioxabicyclo[14.1.0]heptadecane-5,9-dione;Epothilone B (EPO906,Patupilone);Epothilon B;GNF-PF-193;EpoB;Patupilone;Epothilone B;EPO906;EPO906,EpoB,Patupilone;
CAS号 152044-54-7
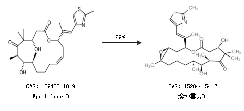
合成路线:
1.通过Epothilone D合成埃博霉素B,收率约97%;

2.通过Epothilone D合成埃博霉素B,收率约69%;

合成路线仅供参考