基本信息:
中文名称 表儿茶素
中文别名 表儿茶素 141;(?)-cis-3,3'',4'',5,7-Pentahydroxyflavane;表儿茶精;表儿茶素;2-(3,4-羟基苯基)-3,4-二氢-2H-1-苯并吡喃-3,5,7-三醇;
英文名称 (-)-epicatechin
英文别名 (?)-cis-3,3'',4'',5,7-Pentahydroxyflavane;L-Epicatechin;(2R,3R)-2-(3,4-Dihydroxyphenyl)chroman-3,5,7-triol;(-)-Epicatechin;(2R,3R)-2-(3,4-Dihydroxyphenyl)-3,4-dihydro-1(2H)-benzopyran-3,5,7-triol;(?)-Epicatechin,from green tea;
CAS号 490-46-0
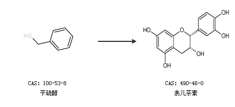
合成路线:
1.通过苄硫醇合成表儿茶素

2.通过原花青素B4和(-)-表没食子儿茶素没食子酸酯合成表儿茶素

合成路线仅供参考