基本信息:
中文名称 D-海藻糖,无水
中文别名 α-D-吡喃(型)葡糖基-α-D-吡喃葡糖苷;蕈糖;无水D-(+)-海藻糖;D-(+)-海藻糖无水;海藻糖;
英文名称 α,α-trehalose
英文别名 alpha,alpha-trehalose;D-(+)-Trehalose Anhydrous;TREHALOSE;
CAS号 99-20-7
合成路线:
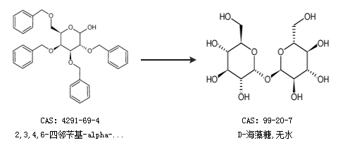
1.通过2,3,4,6-四邻苄基-alpha-d-吡喃葡萄糖合成D-海藻糖,无水

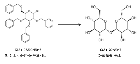
2.通过氯 2,3,4,6-四-O-苄基-|á-D-吡喃葡萄糖苷合成D-海藻糖,无水

合成路线仅供参考