基本信息:
中文名称 2,3-二甲基吡嗪
中文别名 2.3-二甲基吡嗪;二甲派引;2,3-二甲基-1,4-二嗪;
英文名称 2,3-Dimethylpyrazine
英文别名 2,3-Dimethyloyrazine;2,3-dimethyl-pyrazin;2,3-dimethyl-pyrazine;2,3-DICHLORO-6-NITROBENZYLAMINE;2,3-DiMepyz;FEMA 3271;dimethylpyrazine;Pyrazine,2,3-dimethyl;FEMA NUMBER 3271;2,3-DIMETHYL-1,4-DIAZINE;DIMETHYLPYRAZINES;
CAS号 5910-89-4
合成路线:
1.通过乙二胺和甘油合成2,3-二甲基吡嗪

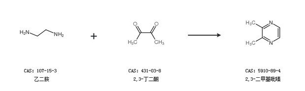
2.通过乙二胺和2,3-丁二酮合成2,3-二甲基吡嗪

中华试剂网提醒:合成路线仅供参考