你好,欢迎来到中华试剂网 购试剂 买耗材! [请登录][注册有惊喜]

货号快速下单 | 签到送积分   | 会员中心 | 客服热线:400-021-2765

2,3-二氨基萘,771-97-1,结构式

2,3-二氨基萘

CasNo:771-97-1 MDL:MFCD00004116 分子式:C10H10N2 分子量:158.2

小程序

化学试剂

所有产品仅用作科学研究和企业生产,我们不为任何个人用途提供产品和服务
收起
  品牌 货号 品名 规格纯度 包装 库存 牌价含税 成交价 购买量 操作
loading
点击加载更多
加载完成
声明
1、因厂家会在没有任何提前通知的情况下更改产品价格、包装、产地或者一些附件,若出现价格异常请以厂家官网价格为准,本司不能确保客户收到的货物与商城图片、产地、附件说明完全一致,只能确保为原厂正货!并且保证与当时市场上同样主流新品一致。若本商城没有及时更新,请大家谅解!
2、商品信息标注“一般危化品”“危化”的商品,如需购买需提供一般危化品购买资质。
3、仅可用于工业或者科研等非医疗目的。买卖双方确认:依照中国法律法规之规定,本网站销售的所有产品仅用于工业应用或者科学研究等非医疗目的,不可用于人类或动物的临床诊断或治疗,非药用,非食用。我们特此明示提醒:您应严格恪守上述规定,不得超越正常的科研或教学目的而违规使用产品,否则由此造成的一切后果均应由您承担;若我们因此遭受任何损失的,您也应负责对我们做出赔偿。
我要委托采购 771-97-1 产品

用户需要登录成功才能进行委托采购!
牌试剂可在下方直接购买,如需大包装可发起委托采购。

*收货区域
*发票类型
*需求量1
*需求量2
备注

基本信息物化性质安全数据

CAS:771-97-1
中文名:2,3-二氨基萘
英文名:2,3-Diaminonaphthalene
中文别名:
2,3-二氨基萘
2,3-萘二胺
英文别名:
2,3-Diaminonaphthalene
DAN
2,3-Naphthalenediamine

技术问答

2,3-二氨基萘的合成路线有哪些?匿名 2021-04-22 10:11
描述:2,3-二氨基萘有什么方法可以合成?
基本信息:
中文名称 2,3-二氨基萘
中文别名 DAN;2,3-萘二胺;
英文名称 2,3-DIAMINONAPHTHALENE
英文别名 naphthalene-2,3-diamine;
CAS号 771-97-1

合成路线:
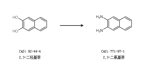
1.通过2,3-二羟基萘合成2,3-二氨基萘


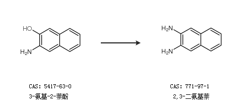
2.通过3-氨基-2-萘酚合成2,3-二氨基萘


合成路线仅供参考
展开
2,3-二氨基萘 熔点是多少匿名 2021-04-14 15:16
描述:2,3-二氨基萘 熔点是多少
2,3-二氨基萘的熔点是 198 - 200 °C
展开
2,3-Diaminonaphthalene是什么,有什么用途匿名 2021-04-14 09:23
描述:2,3-Diaminonaphthalene 也称为: 2,3-二氨基萘
2,3-Diaminonaphthalene 也称为: 2,3-二氨基萘。2,3-Diaminonaphthalene 是一种高选择性的比色和荧光试剂,可用于硒检测,也可用于亚硝酸盐的荧光测定。
展开
2,3-二氨基萘的储存条件,储存温度匿名 2021-04-02 13:01
描述:2,3-二氨基萘的储存温度 保存方法
2~8°C储存
展开
2,3-二氨基萘的外观匿名 2021-03-04 10:27
描述:2,3-二氨基萘是固体还是液体?
淡绿色到棕色粉末
展开

原料询价

询单已收到,专属客服稍后会联系您!

您还可以登录后台“查看询单

此商品已成功添加到购物车
此商品已成功添加到购物车!