基本信息:
中文名称 二硫化二苯并噻唑
中文别名 2,2''-二硫二苯并噻唑;橡胶促进剂DM;2,2''-二硫联二苯并噻唑;二硫化二苯骈噻唑;药胶DM-75;促进剂MBTS;二硫代苯并噻唑;硫化促进剂DM;促进剂DM;
英文名称 dibenzothiazol-2-yl disulfide
英文别名 1,2-Bis(benzo[d]thiazol-2-yl)disulfane;2-(1,3-benzothiazol-2-yldisulfanyl)-1,3-benzothiazole;2,2''-Dithiobisbenzothiazole;2,2''-Dithiobis(benzothiazole);2,2''-Dibenzothiazolyl Disulfide;Perkacit MBTS;2,2-Dithiobisbenzothiazole;
CAS号 120-78-5
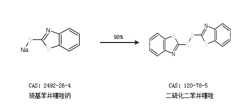
合成路线:
1.通过巯基苯并噻唑钠合成二硫化二苯并噻唑,收率约98%;

2.通过苯亚磺酸钠合成二硫化二苯并噻唑

合成路线仅供参考