基本信息:
中文名称 N-苄氧羰基-L-精氨酸
中文别名 N-Cbz-精氨酸;Z-L-精氨酸;N(a)-苄氧基羰基-L-精氨酸;苄氧羰基-L-精氨酸;CBZ-L-精氨酸;Nα-苄氧羰基-L-精氨酸;Cbz-L-精氨酸;
英文名称 Nalpha-Cbz-L-Arginine
英文别名 Nα-Cbz-L-arginine;Nalpha-Carbobenzyloxy-L-arginine;(S)-2-(((Benzyloxy)carbonyl)amino)-5-guanidinopentanoic acid;(2S)-5-(diaminomethylideneamino)-2-(phenylmethoxycarbonylamino)pentanoic acid;Cbz-L-Arginine;Nα-Carbobenzoxy-L-arginine;
CAS号 1234-35-1
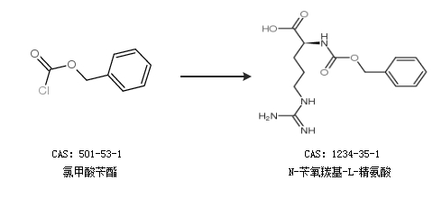
合成路线:
1.通过L-精氨酸和氯甲酸苄酯合成N-苄氧羰基-L-精氨酸,收率约97%;

2.通过氯甲酸苄酯合成N-苄氧羰基-L-精氨酸

合成路线仅供参考