基本信息:
中文名称 L-胱氨酸
中文别名 (R,R)-3,3''-二硫双(2-氨基丙酸);双硫代氨基丙酸;L-膀胱氨基酸;L-胱;L-(-)-胱氨酸;3-二硫代双(2-氨基丙酸);L-3,3''-二硫代双(2-氨基丙酸);
英文名称 L-cystine
英文别名 L-Cystine;1-cystine;L-CYSTINE;l-cystin;h-(cys);(H-Cys-OH)2;(R,R)-3,3''-Dithiobis(2-aminopropionicacid);Cystin;[3H]-Cystine;(CYS)2;.β.,.β.''-Diamino-.β.,.β.''-dicarboxydiethyl disulfide;(R,R)-cystine;Nephrin;Dicysteine;L-CYTISINE;
CAS号 56-89-3
合成路线:
1.通过L-半胱氨酸合成L-胱氨酸,收率约98%;

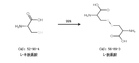
2.通过L-半胱氨酸合成L-胱氨酸,收率约99%;

中华试剂网提醒:合成路线仅供参考