基本信息:
中文名称 2-苯乙基异氰酸酯
中文别名 (2-异氰酸基乙基)苯;2-苯基乙基异氰酸酯;β-苯乙基异氰酸酯;苯乙基异氰酸酯;异氰酸苯乙酯;异氰酸苯乙酯;苯乙基异氰酸酯;
英文名称 2-phenylethyl isocyanate
英文别名 Phenethyl Isocyanate;Phenethylisocyanate;Isocyanic Acid Phenethyl Ester;2-Phenylethyl Isocyanate;2-phenethylisocyanate;Isocyanic Acid 2-Phenylethyl Ester;(2-Isocyanatoethyl)benzene;2-isocyanatoethylbenzene;Phenethyl isocyanate;Phenylethyl isocyanate;2-Phenylethylisocyanate;
CAS号 1943-82-4
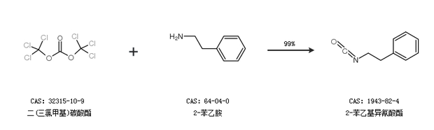
合成路线:
1.通过二(三氯甲基)碳酸酯和2-苯乙胺合成2-苯乙基异氰酸酯,收率约99%;

2.通过N-羟基-3-苯基丙酰胺合成2-苯乙基异氰酸酯,收率约88%;

中华试剂网提醒 合成路线仅供参考