你好,欢迎来到中华试剂网 购试剂 买耗材! [请登录][注册有惊喜]

货号快速下单 | 签到送积分   | 会员中心 | 客服热线:400-021-2765

3-甲基-1-丁硫醇,541-31-1,结构式
一般危化品

3-甲基-1-丁硫醇

CasNo:541-31-1 MDL:MFCD00004899 分子式:C5H12S; (CH3)2CHCH2CH2SH 分子量:104.21

小程序

化学试剂

所有产品仅用作科学研究和企业生产,我们不为任何个人用途提供产品和服务
收起
  品牌 货号 品名 规格纯度 包装 库存 牌价含税 成交价 购买量 操作
loading
点击加载更多
加载完成
声明
1、因厂家会在没有任何提前通知的情况下更改产品价格、包装、产地或者一些附件,若出现价格异常请以厂家官网价格为准,本司不能确保客户收到的货物与商城图片、产地、附件说明完全一致,只能确保为原厂正货!并且保证与当时市场上同样主流新品一致。若本商城没有及时更新,请大家谅解!
2、商品信息标注“一般危化品”“危化”的商品,如需购买需提供一般危化品购买资质。
3、仅可用于工业或者科研等非医疗目的。买卖双方确认:依照中国法律法规之规定,本网站销售的所有产品仅用于工业应用或者科学研究等非医疗目的,不可用于人类或动物的临床诊断或治疗,非药用,非食用。我们特此明示提醒:您应严格恪守上述规定,不得超越正常的科研或教学目的而违规使用产品,否则由此造成的一切后果均应由您承担;若我们因此遭受任何损失的,您也应负责对我们做出赔偿。
我要委托采购 541-31-1 产品

用户需要登录成功才能进行委托采购!
牌试剂可在下方直接购买,如需大包装可发起委托采购。

*收货区域
*发票类型
*需求量1
*需求量2
备注

基本信息物化性质安全数据

CAS:541-31-1
中文名:3-甲基-1-丁硫醇
英文名:3-Methyl-1-butanethiol
中文别名:
3-甲基-1-丁硫醇
异戊硫醇
英文别名:
3-Methyl-1-butanethiol
Isoamyl Mercaptan
Isopentanethiol

技术问答

3-甲基-1-丁硫醇是什么,有什么用途啊?0匿名 2021-04-25 10:27
描述:3-甲基-1-丁硫醇的物化性质是什么,有什么用途啊?
基本信息:
中文名称 3-甲基-1-丁硫醇
中文别名 异戊硫醇;3-甲-1-丁硫醇;异戊基硫醇;
英文名称 3-Methyl-1-butanethiol
英文别名 Isopentanethiol;3-METHYLBUTANETHIOL;1-mercapto-3-methyl butane;isopentylthiol;Isoamyl Mercaptan;Isoamyl mercaptane;isoamylthiol;3-methyl-l-butanethiol;FEMA 3858;3-methylbutane-1-thiol;Isoamyl sulfhydrate;ISOPENTANETHIOL;Isopentylmercaptan;iso-Amyl mercaptan;
CAS号 541-31-1
分子式 C5H12S
分子量 104.21400

物化性质:
外观性状 透明无色至略黄色液体
折射率 n20/D 1.4432(lit.)
闪点 65 °F
储存条件 库房通风低温干燥,与氧化剂、酸类分开存放
密度 0.835 g/mL at 25 °C(lit.)
沸点 120 °C

3-甲基-1-丁硫醇的用途:

用于合成硫的有机化合物。

展开
3-甲基-1-丁硫醇的合成路线匿名 2021-04-25 10:27
描述:3-甲基-1-丁硫醇是什么,有什么方法可以合成?
基本信息:
中文名称 3-甲基-1-丁硫醇
中文别名 异戊硫醇;3-甲-1-丁硫醇;异戊基硫醇;
英文名称 3-Methyl-1-butanethiol
英文别名 Isopentanethiol;3-METHYLBUTANETHIOL;1-mercapto-3-methyl butane;isopentylthiol;Isoamyl Mercaptan;Isoamyl mercaptane;isoamylthiol;3-methyl-l-butanethiol;FEMA 3858;3-methylbutane-1-thiol;Isoamyl sulfhydrate;ISOPENTANETHIOL;Isopentylmercaptan;iso-Amyl mercaptan;
CAS号 541-31-1

合成路线:
1.通过异戊醇合成3-甲基-1-丁硫醇


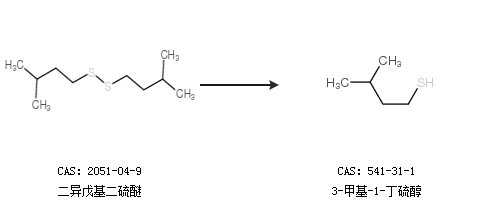
2.通过二异戊基二硫醚合成3-甲基-1-丁硫醇


中华试剂网提醒:合成路线仅供参考
展开
3-甲基-1-丁硫醇的储存条件,储存温度匿名 2021-04-02 13:02
描述:3-甲基-1-丁硫醇的储存温度 保存方法
室温,易燃物区域,密封储存
展开

原料询价

询单已收到,专属客服稍后会联系您!

您还可以登录后台“查看询单

此商品已成功添加到购物车
此商品已成功添加到购物车!