基本信息:
中文名称 间卟啉二甲酯
中文别名 中卟啉(Ⅸ)二甲酯;
英文名称 Mesoporphyrin IX dimethyl ester,Dimethyl 8,13-bis(ethyl)-3,7,12,17-tetramethyl-21H,23H-porphine-2,18-dipropionate
英文别名 DIMETHYL 7,12-DIETHYL-3,8,13,17-TETRAMETHYL-21 H,23 H-PORPHINE-2,18-DIPROPIONATE;2,18-Porphinedipropionic acid,7,12-diethyl-3,8,13,17-tetramethyl-,dimethyl ester;MESOPORPHYRIN IX DIMETHYL ESTER,SYNTHET IC;DIMETHYL 8,13-BIS(ETHYL)-3,7,12,17-TETRAMETHYL-21H,23H-PORPHINE-2,18-DIPROPIONATE;Dimethyl 8,13-diethyl-3,7,12,17-tetramethyl-21H,23H-porphine-2,18-dipropionate;Mesoporphyrin dimethyl ester;mesoporphyrin-(IX)-dimethylester;23h-porphine-2,18-dipropanoicacid,7,12-diethyl-3,8,13,17-tetramethyl-21di;
CAS号 1263-63-4
合成路线:
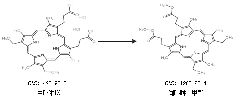
1.通过中卟啉Ⅸ合成间卟啉二甲酯

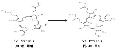
2.通过原卟啉二甲酯合成间卟啉二甲酯

合成路线仅供参考