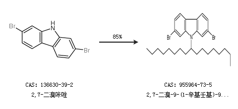
基本信息:
中文名称 2,7-二溴-9-(1-辛基壬基)-9H-咔唑
英文名称 2,7-dibromo-9-heptadecan-9-ylcarbazole
英文别名 N-9''-heptadecanyl-2,7-dibromocarbazole;N-9''-heptadecyl-2,7-dibromocarbazole;2,5-DIMETHYL-6-METHOXYBENZOSELENAZOLE;
CAS号 955964-73-5
合成路线:
1.通过2,7-二溴咔唑合成2,7-二溴-9-(1-辛基壬基)-9H-咔唑,收率约85%;

2.通过正辛基镁溴盐合成2,7-二溴-9-(1-辛基壬基)-9H-咔唑

合成路线仅供参考