基本信息:
中文名称 3,3''-联咔唑
中文别名 3,3’-联咔唑;
英文名称 3-(9H-carbazol-3-yl)-9H-carbazole
英文别名 3,3''-Bicarbazole;3,3''-bicarbazolyl;2,5-BIS-TRIFLUOROMETHYLTHIOBENZAMIDE.;9H,9''H-3,3''-Bicarbazole;3,3''-dicarbazyl;
CAS号 1984-49-2
合成路线:
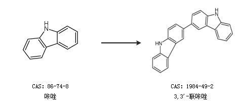
1.通过咔唑合成3,3''-联咔唑

中华试剂网提醒:合成路线仅供参考