基本信息:
中文名称 2,7-二溴-9-辛基-9h-咔唑
英文名称 2,7-dibromo-9-octylcarbazole
英文别名 2,5-DIMETHYL-7,7,8,8-TETRACYANOQUINODIMETHANE;N-octyl-2,7-dibromocarbazole;2,7-dibromo-9-octyl-9H-carbazole;
CAS号 726169-75-1
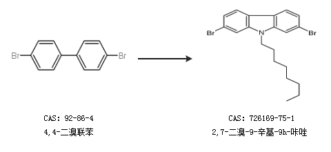
合成路线:
1.通过溴辛烷和2,7-二溴咔唑合成2,7-二溴-9-辛基-9h-咔唑,收率约84%;

2.通过4,4-二溴联苯合成2,7-二溴-9-辛基-9h-咔唑

中华试剂网提醒:合成路线仅供参考