基本信息:
中文名称 2-[(4,4-二乙氧基-2-丁炔-1-基)氧基]四氢吡喃
英文名称 2-[(4,4-Diethoxy-2-butyn-1-yl)oxy]tetrahydro-2H-pyr
英文别名 4-tetrahydropyran-2-yloxy-but-2-ynal-diethylacetal;4-Tetrahydropyran-2-yloxy-but-2-inal-diaethylacetal;4-Tetradecyl-thiomorpholin-1,1-dioxid;4-tetradecyl-thiomorpholine-1,1-dioxide;
CAS号 99805-29-5
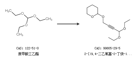
合成路线:
1.通过哌喃、乙基溴化镁和原甲酸三乙酯合成2-[(4,4-二乙氧基-2-丁炔-1-基)氧基]四氢吡喃,收率约77%;

2.通过原甲酸三乙酯合成2-[(4,4-二乙氧基-2-丁炔-1-基)氧基]四氢吡喃

中华试剂网提醒 合成路线仅供参考